【ACS Catal.】雷根斯堡大学/智利天主教大学:通过光激发Cu(I)-底物复合物实现烯烃的1,2-氨基磺酰化—三组分耦合法


原子转移自由基加成(ATRA) 是烯烃双官能团化的重要方法,广泛应用于药物和功能分子的合成。传统的ATRA反应常使用有毒的金属试剂或昂贵的Ru/Ir光催化剂,存在成本和环境问题。铜光催化因其经济、可持续性而受到关注。雷根斯堡大学(Universitat Regensburg)Oliver Reiser课题组和智利天主教大学(Pontificia Universidad Católica de Chile)Alan R. Cabrera团队合作报告了一种由Cu(I)光催化的三组分偶联过程,可实现烯烃的区域选择性邻位1,2-氨基磺酰化反应。这种方法的关键在于利用原位生成的光活性Cu(I)-胺基底物络合物,这种络合物可促进Cu(I)以分步的方式正式氧化为Cu(III)。该方法还可用于促进后期功能化,从而实现生物分子的多样化。本文研究亮点:
1. 首创性的高效三组分策略:首次实现了在单一光催化体系中,有效地抑制烯烃的双组分氯磺酰化反应,使苯乙烯衍生物、磺酰氯和胺得以结合,对模型底物能实现高达88%的分离收率。
2. 优异的底物普适性与高收率:反应展现出广泛的底物范围,对多种苯乙烯衍生物、磺酰氯和胺类都能以中等到良好的收率(60%-85%) 得到目标产物。例如,带有给电子基(4b, 73%)、吸电子基(4d, 70%)、以及位阻较大的邻位取代烯烃(4v, 61%)都能顺利反应,凸显了方法的稳健性。
3. 经济性与可放大性:使用廉价易得的CuCl作为催化剂,反应可实现克级规模制备。在5 mmol规模放大实验中,产物4a仍能以70%的收率获得,仅比小规模(85%)略有降低,证明了该方法具备实际应用的潜力。
本研究发展了一种高效、高选择性的铜光催化三组分1,2-氨基磺酰化反应。其核心创新在于利用原位生成的光活性Cu(I)-底物复合物和独特的氯离子捕获策略,成功解决了竞争性副反应的难题。该研究通过机制洞察为发展新型多组分光催化反应提供了重要借鉴。

图1. 研究背景和本文工作(图片来源:ACS Catal.)

图2. 反应优化(图片来源:ACS Catal.)

图3. 底物范围(图片来源:ACS Catal.)

图4. 扩大实验(图片来源:ACS Catal.)

图5. 机理研究(图片来源:ACS Catal.)

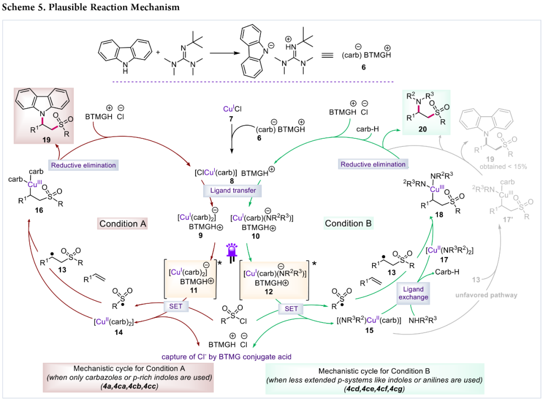
图6. 提出的机制(图片来源:ACS Catal.)
论文信息:
Prithwa Das, Marco A. Henriquez, Camilo Verdugo, Sunaina Sardana, Aryaman Pattanaik, Pablo Jaque, Alan R. Cabrera*, Oliver Reiser*. 1,2-Aminosulfonylation of Alkenes via a Photoexcited Cu(I)-Substrate Complex: A Three-Component Coupling Approach. ACS Catal., 2025
声明:本文仅用于学术文章转载分享,不做盈利使用,如有侵权,请及时联系小编删除。
