甲烷直接转化制乙酸的流动光化学技术

第一作者: 张文卿
通讯作者: 熊宇杰教授,龙冉教授
通讯单位: 中国科学技术大学,合肥综合性国家科学中心能源研究院,安徽师范大学
论文DOI:10.1038/s41467-023-38731-y
甲烷氧化羰基化过程是制备乙酸的一条极具吸引力的途径。然而,通常在反应过程中需要额外加入一氧化碳、氧化剂等多种反应物,使得该技术的发展受到限制。在本工作中,作者报道了一种PdO/Pd–WO3异质界面复合材料,通过在氧化物载体上合理地集成甲烷活化和C–C偶联位点,实现了光驱动甲烷高选择性直接转化为乙酸。原位表征结果表明,甲烷分别在Pd位点和PdO位点上被羟基自由基活化为甲基和羰基中间体,二者可以在此异质界面处发生偶联并进一步水解得到乙酸。基于反应机理分析,作者设计了一种流动式光化学反应装置,可以优化反应物传质方式,从而实现1.5 mmol gPd–1 h–1的乙酸产率和91.6%的乙酸选择性。这项工作为调控甲烷活化过程的中间体类型和产物选择性提供了新的思路。
背景
甲烷部分氧化法是一种制备高价值含氧化合物(如甲醇、甲醛和乙酸)的有前景的方法。在这些高附加值含氧化合物中,乙酸是一种非常重要的化工原料。一般在工业上由甲烷制备乙酸采用间接转化法,包括多个步骤:首先由甲烷转化制备合成气,再由合成气经过费托合成制备甲醇,最后通过甲醇氧化羰基化过程获得乙酸。这种多步转化技术带来了额外的资源消耗,因此开发甲烷直接转化制备乙酸的技术非常重要。近年来已有报道,通过热催化甲烷氧化羰基化的过程,可以直接从甲烷制取乙酸。然而,该过程中需要外加氧化剂(如O2和H2SO4)和羰基化试剂(如CO),会带来许多副反应的发生,限制了甲烷氧化羰基化过程的进一步应用。
光驱动化学转化技术是实现温和条件下甲烷转化的一条有潜力的途径。通过反应中水氧化产生的·OH自由基,能够将甲烷活化为甲基自由基(·CH3),并在反应位点上发生后续转化过程。然而,在光驱动过程中实现甲烷到乙酸的直接转化仍是一项挑战。主要瓶颈在于,在反应过程中与乙酸产物相关的羰基中间体难以稳定产生,并且甲基和羰基之间的偶联过程也难以控制。有鉴于此,作者设想是否可以通过合理集成多种甲烷活化和转化的活性位点,将甲烷分别转化为形成目标产物的关键中间体。该思路可以使甲烷直接氧化羰基化制备乙酸的路径成为可能,并且不需要外加CO等羰基化试剂。
亮点
1)本工作构建了一种PdO/Pd–WO3复合材料,在仅利用甲烷和水作为反应物的条件下实现光驱动甲烷转化为乙酸的反应路径。
2)本工作结合原位表征实验,发现甲烷在·OH的作用下,可以分别在Pd和PdO位点处被活化为甲基自由基和羰基中间体,并在Pd/PdO异质界面处偶联生成乙酸。
3)本工作基于甲烷转化过程中反应中间体形成和偶联的特点,设计优化了反应装置,在温和条件下实现了1.5 mmol gPd–1 h–1的乙酸产率和91.6%的乙酸选择性。
图文

为了观察PdO/Pd–WO3复合材料的结构特征,作者用高分辨TEM来分析不同样品的结构组成,结合图1a-c的结果,可以确认PdO/Pd–WO3复合材料中三种组分的存在。对Pd/PdO异质界面进行进一步贬值可以看到,复合材料具有丰富的Pd/PdO晶界(图1d),而进一步对图1d中的α和β区域进行FFT可知其分别对应PdO和Pd晶体堆积模式(图1e)。此外HAADF-STEM照片和相应EELS能谱的结果也确认了Pd/PdO异质界面的存在(图1f和1g)。结合上述结论,材料中的PdO主要以纳米岛的形式分布在Pd纳米颗粒上(图1h)。

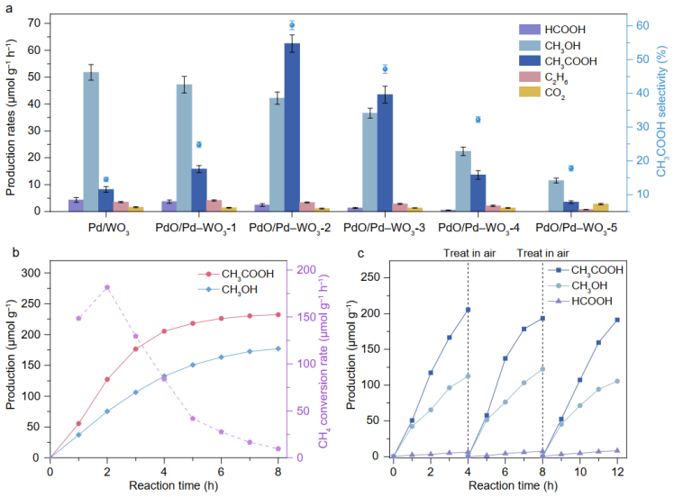
作者对不同PdO含量的样品进行了光驱动甲烷转化性能测试。从图2a中可以看到,当复合材料中不含PdO时,产物主要为甲醇,提高PdO的含量可以显著提高产物中乙酸的选择性,而过多的PdO将会降低复合材料的性能。同时作者对性能最好的PdO/Pd–WO3-2样品进行稳定性测试发现,其性能会随着反应时间的延长而逐渐降低(图2b)。通过对反应后材料的组分进行表征可以得知,PdO/Pd–WO3-2样品中的PdO组分会在反应过程中被消耗。为了恢复材料的性能,作者对反应后的样品进行热处理的方式恢复了PdO/Pd–WO3-2样品中PdO的组分,循环稳定性测试表明在经过组分循环后,样品具有良好的循环稳定性(图2c)。

原位DRIFTS结果表明,在光照的条件下,当样品中不含PdO时,甲烷在Pd/WO3样品表面主要转化为与甲醇相关的C–O和C–H振动信号(图3a)。而在PdO/Pd–WO3-2样品表面上可以检测到与乙酸产物相关的O–C=O和气态CO等羰基中间体的振动信号(图3b)。原位近常压XPS谱图表明,光照后甲烷在PdO/Pd–WO3-2样品表面可转化为碳氢和碳氧物种(图3c),同时可在O 1s谱图中检测到羟基、C–O、H2O和C=O物种的信号,进一步验证了甲烷在复合材料表面可以分别被转化为甲基自由基和羰基中间体(图3d)。值得注意的是,羰基中间体只能在样品中含有Pd/PdO异质界面的时候才能产生,说明其与PdO组分是否存在有关。

为了探究PdO组分在甲烷转化过程中的作用,作者用18O标记了PdO/Pd–WO3复合材料中的PdO位点,并分析了样品的产物(图4a)。结果表明,乙酸产物中羰基的氧来源于复合材料中PdO组的晶格氧,说明甲烷在反应过程中会被PdO转化为羰基中间体(图4b)。根据上述结果,作者提出了甲烷在Pd/PdO异质界面上转化为乙酸的反应机理(图4c),在·OH的作用下,甲烷可以分别在Pd和PdO位点上转化为甲基和羰基中间体,二者在界面处偶联成乙酰基前驱体,并进一步水解为乙酸。

作者参考串联反应的思路,设计了一种光化学流动式反应装置(图5a),将流道设计为弧形结构并把样品沉积到流道上(图5b),同时将甲烷和水进行预混合后通入流道中与样品接触,这样三者形成的三相界面可以提高甲烷的传质速率,并提高提高甲基自由基和羰基中间体的利用率(图5c)。这样一来,可以在此反应装置上实现1.5 mmol gPd–1 h–1的乙酸产率和91.6%的乙酸选择性(图5d)。而且在进行晶格氧恢复的过程后,这个装置表现出良好的循环稳定性(图5e)。
总结
本工作构建了一种PdO/Pd–WO3异质界面复合材料,可以在温和条件下仅以甲烷和水作为反应物合成乙酸。通过原位表征实验发现,复合材料中的Pd和PdO组分可以在光照的条件下将甲烷分别转化为甲基自由基和羰基中间体,二者偶联可进一步形成乙酸。同位素实验表明,产物乙酸中羰基的氧原子来源于样品中PdO的晶格氧,而被消耗的晶格氧通过简单的热处理过程就可以再生并恢复样品的反应活性。这项工作强调了合理的构筑反应位点在调控中间体生成中的重要性,为温和条件下实现甲烷高选择性转化为多碳含氧化合物提供了新的思路。
作者简介
熊宇杰,中国科学技术大学讲席教授、博士生导师。1996年进入中国科学技术大学少年班系学习,2000年获化学物理学士学位,2004年获无机化学博士学位,师从谢毅院士。2004至2011年先后在美国华盛顿大学(西雅图)、伊利诺伊大学香槟分校、华盛顿大学圣路易斯分校工作。2011年辞去美国国家纳米技术基础设施组织的首席研究员职位,回到中国科学技术大学任教授,建立独立研究团队。2017年获国家杰出青年科学基金资助,入选英国皇家化学会会士(FRSC)。2018年获聘长江学者特聘教授,入选国家万人计划科技创新领军人才。2022年当选东盟工程与技术科学院外籍院士(FAAET(F))、新加坡国家化学会会士(FSNIC)。现任ACS Materials Letters副主编。长期从事光电催化研究,通过发展“精准合成-多域表征-数据驱动”交叉研究范式,推动生态系统重构应用。已发表200余篇通讯作者论文(50余篇Nat. Commun.、J. Am. Chem. Soc.、Angew. Chem.和Adv. Mater.),入选科睿唯安全球高被引科学家榜单、全球前2%顶尖科学家榜单、爱思唯尔中国高被引学者榜单(引用36,000余次,H指数96)。2012年获国家自然科学二等奖(第三完成人),2014-2016和2018年四次获中国科学院优秀导师奖,2015年获中美化学与化学生物学教授协会杰出教授奖,2019年获英国皇家化学会Chem Soc Rev开拓研究者讲座奖,2021年获安徽省自然科学一等奖(第一完成人)。
龙冉,中国科学技术大学特任教授,博士生导师。2005年进入中国科学技术大学化学系学习,2009年获得化学学士学位,2014年获得无机化学博士学位(导师熊宇杰教授)。2014年加入国家同步辐射实验室开展博士后工作(合作导师宋礼教授)。2016年任副教授,2022年任特任教授。主要聚焦于人工碳循环方面的研究。在晶格工程设计的基础上,利用晶面调控、电子态调控、原子修饰以及复合结构等手段,调节金属纳米催化剂的表面微结构,进而调控催化反应中相关反应分子的吸附、活化行为,建立结构与性能的本征关系,取得了一系列的研究成果:已在国际刊物上发表SCI论文109篇,他引6500余次(H因子46),包括30余篇发表在Nat. Commun.、J. Am. Chem. Soc.、Angew. Chem. Int. Ed.、 Adv. Mater.、 Chem. Soc. Rev.的第一/共同通讯作者论文。曾获中国科学院院长特别奖(2014)、中国科学院优秀博士学位论文奖(2016);入选中国科协“未来女科学家计划”(2016,全国5名入选者)、世界最具潜力女科学家计划(2017,全球15名入选者)、中国科协“青年人才托举工程”(2018)、中国科学院“青年创新促进会”(2019);主持国家自然科学基金委优秀青年科学基金项目(2022)、安徽省自然科学基金杰出青年项目(2020)
