光化学反应条件助力Williamson醚合成法无法实现的大位阻醚的制备!
醚类化合物如何合成?最出名的当然是Williamson醚合成法。1850年,英国化学家Alexander William Williamson从卤代乙烷出发,使用乙醇钠对其亲核取代得到了乙醚。由脂肪烷氧盐或芳香酚盐和烷基、烯丙基或苄基卤代烃反应生成相应的醚的反应称为Williamson醚合成反应。但这种方法存在一定的局限性,芳香酚盐很容易得到,但脂肪醇羟基的氢则需加入NaH、LHMDS等强碱方能攫取,此时分子中其他对碱敏感的官能团则会受到影响。另外,形成醚的过程涉及SN2亲核取代反应机制,意味着空间位阻较大的烷基卤化物通常产率很低,并且在碱性条件下可能发生E2消除副反应。

除了利用卤代烃和醇反应制备醚,烯烃在强酸条件下通过形成碳正离子和醇反应也可以制备得到醚。利用非活性的烯烃进行氢烷氧基化制备高附加值的醚,是一种原子经济性很高的方法。比较原始的方法就是在Brønsted酸或超强酸在加热条件下形成碳正离子进行反应,这明显限制了底物的官能团范围。

【Dalton Trans., 2015, 44, 12029–12059】
早在2014年,David A. Nicewicz课题组就报道了光氧化还原催化条件下的反马氏规则氢烷氧基化反应进行分子内反应制备环醚。但是此方法底物范围有限。

【J. Am. Chem. Soc., 2014, 136, 17024】
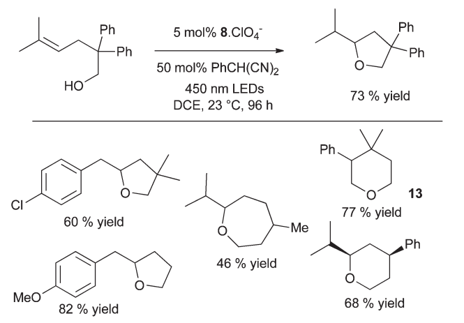
近期,Masanari Nakagawa等人报道了一种光氧化还原/Co/Brønsted酸三重催化体系下,在可见光照射下实现符合马氏规则的氢烷氧化反应。此反应可以制备各种高附加值的醚,伯,仲,叔醇都可顺利反应,可以实现常规条件下很难制备得到的醚。通过三种催化剂对质子和电子的精确控制,可以避免使用传统方法中所需的强酸和外部还原剂/氧化剂,因此此反应条件温和,官能团耐受度高。【J. Am. Chem. Soc. 2022, 144, 7953−7959】

最佳反应条件及催化剂的筛选:




底物范围实验中,各种伯仲叔醇和各类烯烃在最佳反应条件下进行反应,都取得了很好的产率。各种大位阻的醇也可以顺利反应,烷基卤代烃,Boc,Cbz,缩醛等基团都不受影响,反应条件的官能团耐受度极高。





反应机理
三种催化剂在各自的催化循环中都实现了相应的关键性步骤;一、Co(II)通过光化学还原后质子化得到Co(III)氢化物;二、Co(III)氢化物对烯烃进行金属氢化物氢原子转移(MHAT);三、光氧化烷基Co(III)络合物得到烷基Co(IV)中间体,醇亲核试剂对烷基Co(IV)中间体(类似碳正离子)进行取代得到醚。




反应操作

The reaction in Table 1, entry 1 is representative (limiting reagent: alkene).
In a glovebox, to an oven-dried vial with a stirring bar was added photoredox catalyst PTH-1 (3.7 mg, 0.01 mmol), Co-1 (1.2 mg, 0.002 mmol), HX-1 (5.4 mg, 0.02 mmol) and DCM (500 μL). Then, cyclopentanol 1a (54.4 µL, 0.6 mmol) and 4-phenyl-1-butene 2a (30.0 µL, 0.2 mmol) were added to the reaction mixture. After sealing the vial with a cap and removal from the glove box, the reaction was stirred and irradiated with a 34W blue LED (0.5 cm away) with a cooling fan to keep the temperature around 40 o C (Figure S2). After 24 h, the reaction was quenched with a short plug of silica gel using diethyl ether. After volatiles were removed under reduced pressure, purification by flash column chromatography on silica gel (100:0–98:2, hexane/Et2O) gave the 3aa (32.3 mg, 0.15 mmol, 74% isolated yield) as a pale yellow oil.
The reaction in Table 1, entry 13 is representative (limiting reagent: alcohol).
In a glovebox, to an oven-dried vial with a stirring bar was added photoredox catalyst PTH-1 (3.7 mg, 0.01 mmol), Co-1 (1.2 mg, 0.002 mmol), HX-1 (5.4 mg, 0.02 mmol) and DCM (500 μL). Then, cyclopentanol 1a (18.1 µL, 0.2 mmol) and 4-phenyl-1-butene 2a (60.1 µL, 0.4 mmol) were added to the reaction mixture. After sealing the vial with a cap and removal from the glove box, the reaction was stirred and irradiated with a 34W blue LED (0.5 cm away) with a cooling fan to keep the temperature around 40 o C (Figure S2). After 24 h, the reaction was quenched with a short plug of silica gel using diethyl ether. After volatiles were removed under reduced pressure, purification by flash column chromatography on silica gel (100:0–98:2, hexane/Et2O) gave the 3aa (37.6 mg, 0.17 mmol, 86% isolated yield.) as a pale yellow oil.
参考资料
一、StrategicApplications of Named Reactions in Organic Synthesis, László Kürti and BarbaraCzakó, Williamson ether synthesis., page 484-485.
二、A Triple Photoredox/Cobalt/Brønsted Acid Catalysis Enabling Markovnikov Hydroalkoxylation of Unactivated Alkenes;Masanari Nakagawa,∥ Yuki Matsuki,∥ Kazunori Nagao,* and Hirohisa Ohmiya*;J. Am. Chem. Soc. 2022, 144, 7953−7959。
